Erweiterte Matrix

Antwort erstellen


BBCode ist eingeschaltet
[img] ist ausgeschaltet
[url] ist eingeschaltet
Smileys sind ausgeschaltet

Die letzten Beiträge des Themas
   

Ansicht erweitern Die letzten Beiträge des Themas: Erweiterte Matrix

Re: Erweiterte Matrix

von lorbass » So, 19.05.2013 15:29

Koeffizientenmatrix

Code: Alles auswählen

matrix {
a_11     # a_12     # dotsaxis # a_1n     ##
a_21     # a_22     # dotsaxis # a_2n     ##
dotsvert # dotsvert # dotsdown # dotsvert ##
a_m1     # a_m2     # dotsaxis # a_mn
}
Matrix 1.png
Matrix 1.png (4.72 KiB) 11368 mal betrachtet
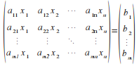
Lineares Gleichungssystem

Code: Alles auswählen

left ( matrix {
a_11 x_1 # a_12 x_2 # dotsaxis # a_1n x_n ##
a_21 x_1 # a_22 x_2 # dotsaxis # a_2n x_n ##
dotsvert # dotsvert # dotsdown # dotsvert ##
a_m1 x_1 # a_m2 x_2 # dotsaxis # a_mn x_n
} right )
=
left ( stack { b_1 # b_2 # dotsvert # b_m } right )
Matrix 2.png
Matrix 2.png (8.38 KiB) 11368 mal betrachtet
Und mit ein bisschen Trickserei kann man auch die Erweiterte Koeffizientenmatrix darstellen.
[edit]2013-10-20 – Verbesserter Code.[/edit]

Code: Alles auswählen

left ( matrix {
a_11     # a_12     # dotsaxis # a_1n     ##
a_21     # a_22     # dotsaxis # a_2n     ##
dotsvert # dotsvert # dotsdown # dotsvert ##
a_m1     # a_m2     # dotsaxis # a_mn
}
`left lline`
stack {b_1      # b_2      # dotsvert # b_m }
right none
right )
Matrix 3.png
Matrix 3.png (5.81 KiB) 11368 mal betrachtet
Gruß
lorbass

Nach oben