von stirz » Di, 04.11.2008 15:34
Moin,
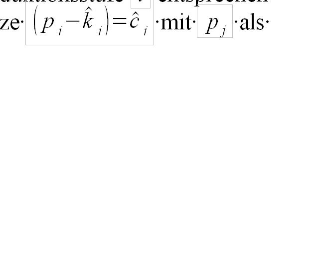
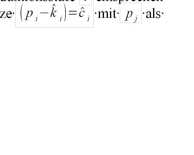
bei mir tritt folgendes Phänomen auf: eine Math-Formel, z.B. x_j^1, steht in einem Block von Text mit festem Zeilenabstand in dessen letzter Zeile. Wenn ich die Formel bearbeite, ist sie offensichtlich komplett, allerdings wird das "j" so weit von unten abgeschnitten, dass es aussieht wie ein "i". Ich habe mal einen Writer-Screenshot genommen und die passende Stelle vergrößert.
Kann mir jemand weiterhelfen?
Danke
Stirz
- Dateianhänge
-

- komisch.JPG (13.93 KiB) 5008 mal betrachtet
Moin,
bei mir tritt folgendes Phänomen auf: eine Math-Formel, z.B. x_j^1, steht in einem Block von Text mit festem Zeilenabstand in dessen letzter Zeile. Wenn ich die Formel bearbeite, ist sie offensichtlich komplett, allerdings wird das "j" so weit von unten abgeschnitten, dass es aussieht wie ein "i". Ich habe mal einen Writer-Screenshot genommen und die passende Stelle vergrößert.
Kann mir jemand weiterhelfen?
Danke
Stirz