Schriftartenproblem beim Formeln?

Antwort erstellen


BBCode ist eingeschaltet
[img] ist ausgeschaltet
[url] ist eingeschaltet
Smileys sind ausgeschaltet

Die letzten Beiträge des Themas
   

Ansicht erweitern Die letzten Beiträge des Themas: Schriftartenproblem beim Formeln?

Re: Schriftartenproblem beim Formeln?

von lorbass » Fr, 08.10.2010 16:40

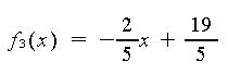
bc_stadler hat geschrieben:Allerdings werden die Klammern als leere Rechtecke dargestellt (s. "Formel schlect.pdf") und nicht wie gewünscht als Klammern (s. "Formel gut.png")
Wie hast du denn die "gute" Darstellungen zustande gebracht? Auf einem zweiten Rechner? Dann vergleiche doch mal die installierten Schriftarten hüben und drüben.

BTW: Warum verwendest du das matrix-Konstukt? Reicht nicht auch die einfache Variante?

Code: Alles auswählen

f_{3}(x) = - {2 over 5} x + 19 over 5
Gruß
lorbass

Re: Schriftartenproblem beim Formeln?

von Thomas Mc Kie » Fr, 08.10.2010 15:36

Ich tippe mal auf ein Schriftartenproblem wie hier, wobei es da ja um die portable-Version geht. Aber eventuell ist bei dir ja irgendwie derselbe Fehler entstanden.

Grüße

Thomas

Schriftartenproblem beim Formeln?

von bc_stadler » Do, 30.09.2010 21:53

Ich glaube ich habe ein Schriftartenproblem, kann aber keine Lösung finden. Ich verwende OpenOffice 3.2.0 unter Windows XP, deutsche Regioneinstellungen und versuche folgende Formel einzugeben:

matrix{ alignr{ f_{3}(x) } # {}={} # alignl{ -{{alignc{2}} over {alignc{5}}} x`+`{{alignc{19}} over {alignc{5}}} } }

Allerdings werden die Klammern als leere Rechtecke dargestellt (s. "Formel schlect.pdf") und nicht wie gewünscht als Klammern (s. "Formel gut.png") Ich verwende die voreingestellten Schriftarten für die Formeln.

Kann mir irgendjemand sagen, an was das liegen kann?

Herzlichen Dank im voraus

Christoph
Formel schlecht.pdf
(46.37 KiB) 463-mal heruntergeladen
Dateianhänge
Formel gut.jpg
Formel gut.jpg (2.55 KiB) 5961 mal betrachtet

Nach oben