von bc_stadler » Do, 30.09.2010 21:53
Ich glaube ich habe ein Schriftartenproblem, kann aber keine Lösung finden. Ich verwende OpenOffice 3.2.0 unter Windows XP, deutsche Regioneinstellungen und versuche folgende Formel einzugeben:
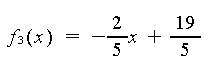
matrix{ alignr{ f_{3}(x) } # {}={} # alignl{ -{{alignc{2}} over {alignc{5}}} x`+`{{alignc{19}} over {alignc{5}}} } }
Allerdings werden die Klammern als leere Rechtecke dargestellt (s. "Formel schlect.pdf") und nicht wie gewünscht als Klammern (s. "Formel gut.png") Ich verwende die voreingestellten Schriftarten für die Formeln.
Kann mir irgendjemand sagen, an was das liegen kann?
Herzlichen Dank im voraus
Christoph
- Dateianhänge
-

- Formel gut.jpg (2.55 KiB) 5961 mal betrachtet
Ich glaube ich habe ein Schriftartenproblem, kann aber keine Lösung finden. Ich verwende OpenOffice 3.2.0 unter Windows XP, deutsche Regioneinstellungen und versuche folgende Formel einzugeben:
matrix{ alignr{ f_{3}(x) } # {}={} # alignl{ -{{alignc{2}} over {alignc{5}}} x`+`{{alignc{19}} over {alignc{5}}} } }
Allerdings werden die Klammern als leere Rechtecke dargestellt (s. "Formel schlect.pdf") und nicht wie gewünscht als Klammern (s. "Formel gut.png") Ich verwende die voreingestellten Schriftarten für die Formeln.
Kann mir irgendjemand sagen, an was das liegen kann?
Herzlichen Dank im voraus
Christoph[attachment=1]Formel schlecht.pdf[/attachment]