von lorbass » So, 19.05.2013 15:29
Koeffizientenmatrix
Code: Alles auswählen
matrix {
a_11 # a_12 # dotsaxis # a_1n ##
a_21 # a_22 # dotsaxis # a_2n ##
dotsvert # dotsvert # dotsdown # dotsvert ##
a_m1 # a_m2 # dotsaxis # a_mn
}

- Matrix 1.png (4.72 KiB) 11573 mal betrachtet
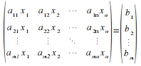
Lineares Gleichungssystem
Code: Alles auswählen
left ( matrix {
a_11 x_1 # a_12 x_2 # dotsaxis # a_1n x_n ##
a_21 x_1 # a_22 x_2 # dotsaxis # a_2n x_n ##
dotsvert # dotsvert # dotsdown # dotsvert ##
a_m1 x_1 # a_m2 x_2 # dotsaxis # a_mn x_n
} right )
=
left ( stack { b_1 # b_2 # dotsvert # b_m } right )

- Matrix 2.png (8.38 KiB) 11573 mal betrachtet
Und mit ein bisschen Trickserei kann man auch die
Erweiterte Koeffizientenmatrix darstellen.
[edit]2013-10-20 – Verbesserter Code.[/edit]
Code: Alles auswählen
left ( matrix {
a_11 # a_12 # dotsaxis # a_1n ##
a_21 # a_22 # dotsaxis # a_2n ##
dotsvert # dotsvert # dotsdown # dotsvert ##
a_m1 # a_m2 # dotsaxis # a_mn
}
`left lline`
stack {b_1 # b_2 # dotsvert # b_m }
right none
right )

- Matrix 3.png (5.81 KiB) 11573 mal betrachtet
Gruß
lorbass
[b]Koeffizientenmatrix[/b]
[code]matrix {
a_11 # a_12 # dotsaxis # a_1n ##
a_21 # a_22 # dotsaxis # a_2n ##
dotsvert # dotsvert # dotsdown # dotsvert ##
a_m1 # a_m2 # dotsaxis # a_mn
}[/code][attachment=2]Matrix 1.png[/attachment]
[b]Lineares Gleichungssystem[/b]
[code]left ( matrix {
a_11 x_1 # a_12 x_2 # dotsaxis # a_1n x_n ##
a_21 x_1 # a_22 x_2 # dotsaxis # a_2n x_n ##
dotsvert # dotsvert # dotsdown # dotsvert ##
a_m1 x_1 # a_m2 x_2 # dotsaxis # a_mn x_n
} right )
=
left ( stack { b_1 # b_2 # dotsvert # b_m } right )[/code][attachment=1]Matrix 2.png[/attachment]
Und mit ein bisschen Trickserei kann man auch die [b]Erweiterte Koeffizientenmatrix[/b] darstellen.
[color=#0040FF][edit]2013-10-20 – Verbesserter Code.[/edit][/color]
[code]left ( matrix {
a_11 # a_12 # dotsaxis # a_1n ##
a_21 # a_22 # dotsaxis # a_2n ##
dotsvert # dotsvert # dotsdown # dotsvert ##
a_m1 # a_m2 # dotsaxis # a_mn
}
`left lline`
stack {b_1 # b_2 # dotsvert # b_m }
right none
right )[/code][attachment=0]Matrix 3.png[/attachment]
Gruß
lorbass