Wenn ich im swriter erstellte Dokumente auf einen anderen PC übertrage, und dort weiter bearbeiten will, tritt das Problem auf, dass sämtliche mit dem Formeleditor erstellte Formeln von "seltsamen Zeichen" durchsetzt sind - woran kann das liegen?
Ich hab auf beiden Rechnern die neuesten Version drauf.
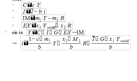
Formeln werden zerstört
Moderator: Moderatoren
Formeln werden zerstört
- Dateianhänge
-
- openoffce.png (7.74 KiB) 299 mal betrachtet
- Constructus
- *******
- Beiträge: 1610
- Registriert: Mo, 21.01.2008 18:08
- Wohnort: 20 Jahre Brilon - 40 Jahre Essen- Steele
Re: Formeln werden zerstört
Hallo Black90,
das sieht für mich so aus, daß die Rechner nicht die gleichen Schriften installiert haben; kannst Du das vorab prüfen?
Nette Grüße
Constructus
das sieht für mich so aus, daß die Rechner nicht die gleichen Schriften installiert haben; kannst Du das vorab prüfen?
Nette Grüße
Constructus
EDV ist wunderbar - o Wunder, wenn sie funktioniert! {°L*}
Freie Offices auf div. Linuxen + 3 VBoxen mit WIN2K
|| LibO + AOO, auf Linux und WIN2K; portable OO & Co. auf WIN
Genaue Typisierung unmöglich, alles ist "im Fluß"
Freie Offices auf div. Linuxen + 3 VBoxen mit WIN2K
|| LibO + AOO, auf Linux und WIN2K; portable OO & Co. auf WIN
Genaue Typisierung unmöglich, alles ist "im Fluß"
-
Thomas Mc Kie
- ******
- Beiträge: 921
- Registriert: Mo, 12.04.2010 00:37